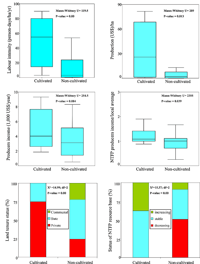
Fig. 3. A comparison of variables from cases involving nontimber forest product (NTFP) production in cultivated forest (n=16) versus non-cultivated forest (n=45).